-
2-吡啶醛肟甲氯
結構式 物競編號 014g 分子式 c7h9cln2o 分子量 172.62 標簽 吡啶-2-甲醛肟氯甲烷鹽, 氯解磷定, 氯磷定, 2-吡啶醛, ... -
n-乙基鄰胺
結構式 物競編號 0280 分子式 c9h13n 分子量 135.21 標簽 n-乙基鄰胺, 2-甲基-n-乙基胺, n-乙基-2-甲基胺, 乙氨基鄰, ... -
尼亞酰胺
結構式 物競編號 014f 分子式 c16h18n4o2 分子量 298.34 標簽 煙肼酰胺, 尼亞拉胺, n-benzyl-β-(isonicotinylhydrazino)propionamide, ... -
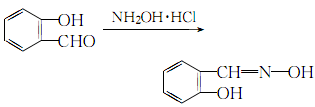
水楊醛肟
結構式 物競編號 027z 分子式 c7h7no2 分子量 137.14 標簽 水楊醛肟, 2-羥基甲醛肟, salicylaldoxime, benzaldehy ...





